Abstract
Background: Angiogenesis plays an important role in the development and the maintenance of hematolymphoid malignancies. Serum levels of angiogenic cytokines, such as vascular endothelial growth factor (VEGF) and interleukin 6 (IL-6), are known to be increased in patients with Waldenstrom Macroglobulinemia (WM) and IgM monoclonal gammopathy of undetermined significance (MGUS). Even if the role of IL-6 and VEGF as markers of disease status and severity has been recognized, only a limited number of studies have addressed the role of cytokines in WM and there is no proof about any correlation between their serum levels in WM and IgM-MGUS patients. Nevertheless, their dosage at various stages of the disease aims to understand if they have a comparable pattern, and therefore they could be used in clinical practice for disease monitoring.
Aims: This study aims to find a correlation of serum levels of VEGF and IL-6 with the burden of disease in our patients with IgM-MGUS and WM and to evaluate a possible relationship between the two angiogenic cytokines, in an attempt to identify potential markers of severity.
Methods: We performed a retrospective monocentric study of 18 patients (ten with WM and eight with IgM-MGUS) with a median age of 73 years (range: 52-90), whose 66% were male. Patients with WM were at different stages of disease (four were naive, four in remission, two relapsed/refractory). A total of 18 controls with a similar age and gender distribution were also tested. Controls were selected among patients with neuropathies in the absence of any hematological condition. We used the 1:1 ratio for the selection of controls: for every male or female WM patient, one control of the same gender and of similar age was included. In order to find a relationship of VEGF and IL-6 with a laboratory parameter, IgM levels dosage for each patient have been measured at the same time-point of the measurement of the cytokines. In all patients and controls, we evaluated serum levels of VEGF and IL-6 using Immunoassay panels (i.e., anti-IL-6 and anti-VEGF ELISA kit).
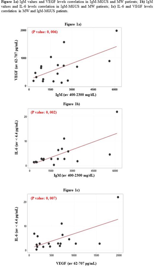
Results: All patients showed elevated values of angiogenic cytokines when compared with controls (P value < 0.05). Both VEGF and IL-6 serum levels (median values: 623,5 pg/mL and 4,5 pg/mL, respectively; ranges: 113,4-1981 pg/mL and 0,3-21,9 pg/mL, respectively) showed a positive correlation with IgM serum levels (median value: 2055 mg/dL, range: 300-6123 pg/mL) (Fig. 1a and 1b). Furthermore, the relationship between IL-6 and VEGF was statistically significant and could be explained by a linear model (P value = 0,007) (Fig. 1c). No statistically significant differences were observed between the different phases of WM.
Conclusions: Evidence from our sample shows that serum levels of angiogenic cytokines as VEGF and IL-6 have a comparable pattern with IgM levels. Therefore, it seems reasonable to suggest that they could be used in clinical practice as markers of severity of disease and response to treatment. Moreover, since the cytokines profiles are comparable, IL-6 can be used interchangeably with VEGF, allowing the monitoring of the disease with easily availability and unexpensive techniques.
Disclosures
No relevant conflicts of interest to declare.
Author notes
Asterisk with author names denotes non-ASH members.

This feature is available to Subscribers Only
Sign In or Create an Account Close Modal